上海医疗器械展览会|【光设教程】十分钟学会内窥镜光学系统设计
2025-08-27
微创手术已成为现代医学发展的主要趋势。作为此类手术的主要工具,内窥镜对手术的成功起着至关重要的作用。上海医疗器械展览会将以一个初始系统结构为例,探讨硬质内窥镜的光学设计。通过这个例子,希望能够为光学设计工程师提供清晰的设计方法和实际应用参考。
背景与设计指标
硬质内窥镜是从 1806 年开始出现并由此时发展起来的。1806 年 Philip Bozzini 首次发明了主要由一些镜片组成的硬质内窥镜,其主要是用于检查膀胱和尿道。但是由于当时对于内窥镜研究是有限的,所检查的病变组织的并不是十分清楚,并没有得到广泛的使用。1879 年 Nitze 设计出可用来检查膀胱的内窥镜,这是第一个使用光学系统的内窥镜。1895 年 Rosenhein 设计并制造了由 3 层同心圆柱状的管(包括外层管、二层管和中心管)组成的硬性内窥镜内部系统的结构。其中,在外层管壁上刻有刻度,做测量用,在二层管腔内装有光源和降温结构,中心管用于光学系统成像。该内窥镜主要用于胃部检查。1911 年 Elsner 在 Rosenhein 式胃镜结构的基础上,将橡皮头加在了胃镜的前端,但仍会存在透镜脏污所导致的无法清晰的观察患处、在检查过程中会使患者感到痛苦等缺点。
随着技术的进步与成熟,硬性内窥镜的发展十分迅速,其产品的种类也更加丰富,如在内科中应用广泛的有腹腔镜和宫腔镜等,在五官科中应用广泛的有鼻镜等。如图所示BDJ-7 型鼻内窥镜,其主要作用就是确定病变组织,对其进行细致检查,并及时诊断治疗。早期鼻镜一般都是进行间接观察的,随着科技发展,出现了数字化高清鼻镜诊疗工作站,可以提供高清鼻镜视频。

图片来源:之晓光学
电子内窥镜是随着电子技术的迅速崛起而被人们研究出来的,其与硬性内窥镜的区别是应用固体摄像元件和大规模使用集成电路,加入了 CCD、计算机、半导体、小型摄像机等先进的科学技术。通过图像传感器(如CCD或CMOS)直接获取并数字化图像。图像通过显示屏实时呈现,分辨率和图像质量更高,且可以通过计算机对图像进行后处理,如放大、记录、存储和再现。在 1983 年,Welch Allen 公司研究生产了一款加入了高精度的图像传感器 CCD 的电子内窥镜,与以前的内窥镜相比该电子内窥镜成像更加清晰、分辨率更高。20 世纪 80 年代后,随着各种技术的不断发展与成熟,研究与生产、加工电子内窥镜的技术也愈加成熟。电子内窥镜的在光源方面,也越来越先进,其均采用高亮度的冷光源,具有高亮度、寿命长、低热量等特点。电子内窥镜的种类也变得更多,来满足不同部位、不同人群的需要,如图 1.2 为奥林巴斯电子胃镜 CV-290。图中的电子胃镜主要由内窥镜镜头、电视监视器和信息中心这三部分组成。电子内窥镜的主要特点是在检查时可以减少病患的痛苦,节约时间;由于图像分辨率高,所以医生可以更加清晰得观察病变组织,更加准确得判断病变组织,并对此进行诊断及治疗。

图片来源:之晓光学
现代内窥镜系统是光、机、电、算一体化的系统。光学系统包含成像系统和照明系统;机械结构确保设备的稳定性和耐用性;电子系统为照明、图像传感器及相关设备提供电力,并实现各个模块的控制;计算机则用于处理图像,使医生能够通过显示器观察更加清晰的图像,并记录、保存和再现。这四个部分的协同工作构成了现代内窥镜的整体设计。光、机、电、算四个系统之间相互配合,最终构成了整个的内窥镜系统。

图片来源:之晓光学
在本案例中,我们将基于以下关键设计指标,对硬质内窥镜的初始光学结构进行优化。虽然现在的内窥镜常常不包含中继系统,但这个案例仍可以为我们加深对光学系统的理解提供参考。

图片来源:之晓光学
调整初始结构
有了这样的指标要求,查阅有关资料,可以找到一个看起来比较符合要求的系统,F数为5,与指标要求接近,视场和畸变也满足要求,我们可以把这个作为优化的起点,并把参数输入到Zemax里面。

图片来源:之晓光学
我们先来看一下传递函数,在像方300线的时候已经要截止了,我们的指标要求物方分辨率7线对,这个指标如何保证呢?这就是本文我想讲的第一个问题。
在之前的文章里,我已经讲过几种分辨本领的区分,大家可以点下方链接回顾。MTF曲线看的是像方的模糊程度,则我们需要用放大倍率把分辨率换算到物方。
对我们这个初始结构,在系统数据里可以看到,目前的近轴放大倍率约为0.025,则7线对对应到像方空间频率为280线对左右。这样的初始结构是没有满足要求的
由于物近像远,物距影响系统的放大倍率物方分辨率一定,则像方分辨率和物距有关。对于近轴光学系统,我们可以简单的把设计时要看的像方空间频率近似为(焦距/物距)*物方分辨率。用指标给的参数计算,可得需要看的像方空间频率为150lp/mm。我们把系统缩放一下,并调整一下物距,如下图所示,此时的近轴放大倍率为0.044左右,与计算比较接近。

图片来源:之晓光学
现在我们得到了真正的优化起点,在设计这种光学系统时,也有两种方法,一是把物镜和中继系统当一个整体,这样的好处是直接可以得到组合后最佳的成像性能,但缺点是物镜单独拿出来可能传函不高,不利于模块化加工和检验,而由于系统面数非常多,可能优化得也很慢。因此我们采取第二种方式,即分别设计物镜和中继镜组。
设计优化方法

图片来源:之晓光学
中继系统结构为Hopkins 棒状镜,在成像质量、光能传输效率和加工装调等方面都具有一定的优势。我们把前面单独保存的中继系统拿出来,让后一组pick up前一组的参数,注意孔径光阑在两组之间,同时用RAID操作数控制远心度。跑一跑优化,结果如下:

图片来源:之晓光学
在分别对物镜组和中继系统优化之后,还要将其进行瞳孔匹配进行拼接,进行总体优化,可以发现拼接后的整体系统的畸变并不能满足要求,MTF曲线也较差。

图片来源:之晓光学
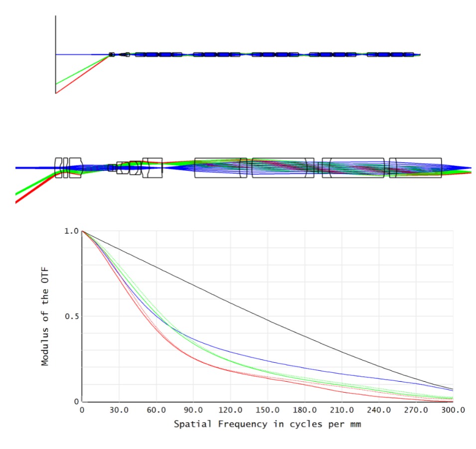
所以为了让整体的像差尽可能小,需要对系统进行整体优化,在优化的操作数中添加 EFFL 来调整整个系统的焦距,加入操作数 DIMX 来观察系统的最大畸变,通过添加操作数 OPLT 使 DIMX 对应的数值小于所要求的畸变数值。在对系统进行整体优化时,要多次少量进行优化,一步步改善优化函数,尽可能使物镜和中继镜拿出来都有较好成像质量。组合后再优化的结果如下:

图片来源:之晓光学
总结
本文通过一个内窥镜光学系统的设计案例,详细展示了内窥镜系统的特点。我们从参考资料中选取了一个与设计指标接近的初始结构,经过合理的调整与优化,成功实现了目标指标。当然,在实际工程中还需要考虑诸如材料选择、入射角度、环境适应性等因素,但从整体流程来看,这种基于初始结构的优化方法不仅简化了设计难度,也提高了设计的效率。希望本文的讨论能够为光学系统设计中的初始结构选取和优化提供有益的参考。
文章来源:之晓光学
文章内容仅供知识交流分享使用,如涉侵权请联系我们删除。




